Welcome to  Math Sample 1

Name
Email
Phone
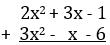
1) Math Sample 1 - Q1E
Hint

2) Math Sample 1 - Q2
Hint

3) What is the area of a square with a side of 7?
Hint

4) What is the area of a rectangle with a length of 4 and a width of 9?
Hint

5) Prob 5B


Please review your answers before clicking the submit button