Skip to Main Content
Home
Student Page
Student Page
Tips
Test Taking Tips
Paragraph Comprehension Tips
Word Knowledge Tips
About Us
About Us
Why Us
Why Become a Member?
Contact Us
Menu
Home
Student Page
Student Page
Tips
Test Taking Tips
Paragraph Comprehension Tips
Word Knowledge Tips
About Us
About Us
Why Us
Why Become a Member?
Contact Us
Algebra 1 Pre-Assessment
Welcome to your Algebra 1 Pre-Assessment
Name
E-Mail
Phone
(x+1)(x+11)
(x+1)(x+8)
(x+4)(x+4)
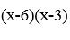
(x-7)(x-3)
(x+21)(x+0)
(x+11)(x+11)
(x-4)(x+32)
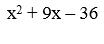
(x+6)(x+5)
(x-8)(x+4)
(x+18)(x+18)
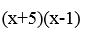
(x+12)(x-3)
(x+9)(x-3)
(x+50)(x+2)
(x+1)(X+100)
(x+10)(x-10)
(2x+3)(2x-2)
(4x+3)(x-2)
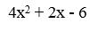
(2x+2)(2x-6)
x^2-49
2x-49
x-49x
x^2+2x+9
x^2+11x+18
x^2+3x+3
x2+5x-4
x2+1x-5
x2+4x-5
x^2-9x+18
x^2-4x+5
x^2-9x+18
5x^2+11x-10
6x^2+11x-10
6x^2+11x-7
5 + 1 – (8−4)
2
× 3 + 9 ÷ 3
-39
39
38
Write in scientific notation.
2,831,834
2.831834 x 10^7
2.831834 x 10^6
2.831834 x 10^5
Write in scientific notation.
0.00526
5.26 x 10^-3
5.26 x 10^3
5.26 x 10^-4
Write as a numeral.
916.5
91.65
9.165
Write as a numeral.
0.0037862
00.037862
000.37862
4!
8
16
24
0!
1
0
10
6 factorial
36
720
12
Convert Celsius to Fahrenheit by using the formula
F = 9/5 C +32, when the temperature is 20°C
64
72
68
Convert Fahrenheit to Celsius by using the formula
C = 5/9 (F-32), when the temperature is 95°F
35
74
53
Find the absolute value
|-3|
-3
33
3
|5|
0
5
-5
|x+2| = 5
x = 3 or x = -7
x = 3 or x = 7
x = -3 or x = -7